LogicWeekly » Archiv » Weihnachtlicher Einkauf» Hallo Gast [Anmelden|Registrieren]

Logic-Weekly.de [Alles zeigen]

 
Adventskalender 2012

 
Rätsel [Alles zeigen]

 
Meine Mitgliedschaft

 
Bestenlisten [Alles zeigen]

 
Die Schulen [Alles zeigen]

 
Rätselforum [Alles zeigen]

 
Weihnachtlicher Einkauf
Adventskalender 2010 » Logik

Beim Durchstöbern der Technik-Abteilung im Kaufhaus nach einem passenden Weihnachtsgeschenk für ihren Freund stößt Nadine auf 4 baugleiche Bildschirme. Diese sind so angeordnet, dass sich insgesamt ein großes Rechteck ergibt (je zwei neben- und übereinander). Erstaunt bemerkt Nadine, dass jeder der 4 Monitore das gleiche Bild anzeigt: Nämlich das Gesamtbild aller 4 Bildschirme zusammen. Fasziniert von diesem Anblick, möchte sie einen Karton hinter den Bildschirmen aus dem Regal nehmen und zieht dabei versehentlich das Stromkabel des unteren linken Bildschirms aus der Steckdose. Die übrigen Bildschirme werden dabei nicht von der Stromversorgung getrennt, verändern durch den Ausfall des Bildschirms links unten allerdings ihr eigenes Bild. Aber was genau ist nun auf jedem einzelnen der 3 verbleibenden Monitore zu sehen?


Dieses Rätsel ist abgelaufen

Interessanterweise zeigt nun nicht nur der ausgefallene Monitor ein schwarzes Bild, sondern alle.

Abbildung 1 zeigt zunächst vereinfacht, wie das Gesamtbild aussieht, wenn man zum besseren Verständnis jedem Bildschirm eine Farbe zuordnet und zunächst nicht berücksichtigt, dass ja genau dieses Gesamtbild mit den vier Farben eigentlich in jedem der vier Monitore zu sehen sein müsste. Von dieser vereinfachten Darstellung ausgehend ergibt sich Abbildung 2, wenn der Bildschirm in der linken unteren Ecke ausfällt.

Da in Wirklichkeit jeder einzelne Bildschirm aber nicht allein seine eigene Farbe darstellt, sondern das Gesamtbild, ist die Annahme, dass nur das Quadrat unten links schwarz wird, falsch:

Das ursprüngliche Gesamtbild sieht eher wie Abbildung 3 aus.  Ganz genau genommen müsste dort jedes kleine Quadrat erneut in vier noch kleinere geteilt werden, welche wieder geteilt werden, usw. Ausgehend von der Darstellung in Abbildung 3 ergibt sich schon ein viel dunkleres Bild (Abbildung 4) als eingangs vermutet, sobald der grüne Bildschirm ausfällt. Eine noch genauere Ansicht (Abbildung 5) zeigt, dass in Wirklichkeit ein noch größerer Anteil der Fläche des Gesamtbildes schwarz wird.

Grafik kann nicht angezeigt werden.

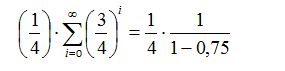
Mit Hilfe einer kurzen mathematischen Überlegung lässt sich beweisen, dass das Bild tatsächlich völlig schwarz wird (Abbildung 6):

Man kann den schwarzen Anteil des Gesamtbildes als Summe berechnen. Der erste Summand ist genau ein Viertel des Gesamtbildes, nämlich der ausfallende Bildschirm. Diesen Summanden vom Wert ein Viertel kann man auch als "3 hoch 0" mal "1/4 hoch 1" schreiben (siehe unten). Hinzu kommt in jedem der drei ("3 hoch 1") übrigen Quadrate eine schwarze Fläche, die ein Viertel dieser Quadrate und somit ein Sechzehntel ("ein Viertel hoch 2") des Gesamtbildes ausmachen. Mit den nächst kleineren Quadraten geht man genauso vor, mit den noch kleineren wieder und so weiter:

Formel kann nicht angezeigt werden.

Nach Ausklammern von "ein Viertel" ergibt sich für die unendliche geometrische Reihe (s. Formelsammlung):

Formel kann nicht angezeigt werden.

Der so entstandene Term ergibt 1 (sprich 100%), was beweist, dass das Gesamtbild schließlich völlig dunkel ist.



Lösung ausblenden

Rätselinfos
Start:
15.12.2010 06:30
Ende:
16.12.2010 06:30
Schwierigkeitsstufe:
(40 von 100)
Abgegebene Lösungen:
89
Eingestellt von:
Kornherr Raphael (Carl-Orff-Gymnasium Unterschleißheim)  
» Zur Diskussion im Forum


Abgegebene Lösungen
Benutzer Datum / Uhrzeit Richtig / Falsch Punkte Kontrolliert von
Körber Lisa (Oskar-Maria-Graf-Gymnasium Neufahrn) 15.12.2010 06:32 0 Punkte Kornherr Raphael
Schauer Nadine (Carl-Orff-Gymnasium Unterschleißheim) 15.12.2010 06:33 0 Punkte Kornherr Raphael
Kirchleitner Quirin (Oskar-von-Miller-Gymnasium München) 15.12.2010 06:33 13 Punkte Kornherr Raphael
Egersdörfer Fabian (Carl-Orff-Gymnasium Unterschleißheim) 15.12.2010 06:36 0 Punkte Kornherr Raphael
Zhu Alexander (Carl-Orff-Gymnasium Unterschleißheim) 15.12.2010 06:37 12 Punkte Kornherr Raphael
Monitzer Matthias (Staatliches Gymnasium Pullach) 15.12.2010 06:38 0 Punkte Kornherr Raphael
Wenzl Tobias (Carl-Orff-Gymnasium Unterschleißheim) 15.12.2010 06:42 11 Punkte Kornherr Raphael
Kammerer Anna-Lena (Carl-Orff-Gymnasium Unterschleißheim) 15.12.2010 06:45 10 Punkte Kornherr Raphael
Kirchleitner Sabrina (LMU München (Mathematisches Institut)) 15.12.2010 06:56 0 Punkte Kornherr Raphael
Pingitzer Dominik (Carl-Orff-Gymnasium Unterschleißheim) 15.12.2010 06:57 0 Punkte Kornherr Raphael
Kirchleitner Viktoria (Oskar-von-Miller-Gymnasium München) 15.12.2010 07:02 10 Punkte Kornherr Raphael
Jentzsch Fabian (Staatliches Gymnasium Pullach) 15.12.2010 07:26 0 Punkte Kornherr Raphael
Backs Christian (Oskar-Maria-Graf-Gymnasium Neufahrn) 15.12.2010 12:04 0 Punkte Kornherr Raphael
Aschauer Florian (Carl-Orff-Gymnasium Unterschleißheim) 15.12.2010 13:40 10 Punkte Kornherr Raphael
Aschauer Tobias (Carl-Orff-Gymnasium Unterschleißheim) 15.12.2010 13:40 10 Punkte Kornherr Raphael
Hüttinger Fabian (Senefelder-Schule Treuchtlingen) 15.12.2010 13:49 0 Punkte Kornherr Raphael
Bandle Maximilian (Oskar-Maria-Graf-Gymnasium Neufahrn) 15.12.2010 14:32 0 Punkte Kornherr Raphael
Benedikt Schoof (Carl-Orff-Gymnasium Unterschleißheim) 15.12.2010 14:34 0 Punkte Kornherr Raphael
Schmelz Andreas (Carl-Orff-Gymnasium Unterschleißheim) 15.12.2010 14:39 0 Punkte Kornherr Raphael
Reusch Arne (Carl-Orff-Gymnasium Unterschleißheim) 15.12.2010 14:43 0 Punkte Kornherr Raphael
MUELLER SANDRA (Staatliches Gymnasium Pullach) 15.12.2010 14:43 0 Punkte Kornherr Raphael
Spitschka Thomas (Staatliches Gymnasium Pullach) 15.12.2010 14:51 10 Punkte Kornherr Raphael
Große Nico (Staatliches Gymnasium Pullach) 15.12.2010 15:02 0 Punkte Kornherr Raphael
Balz leonhard (Klenze-Gymnasium München) 15.12.2010 15:29 10 Punkte Kornherr Raphael
Pfeffer Valentin (Oskar-von-Miller-Gymnasium München) 15.12.2010 15:36 0 Punkte Kornherr Raphael
Sicheneder Tobias (Carl-Orff-Gymnasium Unterschleißheim) 15.12.2010 15:44 10 Punkte Kornherr Raphael
Voigt Bastian (Senefelder-Schule Treuchtlingen) 15.12.2010 15:50 0 Punkte Kornherr Raphael
Prim Sarah (Oskar-von-Miller-Gymnasium München) 15.12.2010 15:56 0 Punkte Kornherr Raphael
Schultz Kaja (Carl-Orff-Gymnasium Unterschleißheim) 15.12.2010 16:00 0 Punkte Kornherr Raphael
Beyler Volker (Sonstige (nur für Nichtschüler)) 15.12.2010 16:02 0 Punkte Kornherr Raphael
pichler lukas (Oskar-von-Miller-Gymnasium München) 15.12.2010 16:14 0 Punkte Kornherr Raphael
Willand Florian (Gabriel-von-Seidl-Gymnasium Bad Tölz) 15.12.2010 16:27 0 Punkte Kornherr Raphael
Quaas Oliver (Oskar-von-Miller-Gymnasium München) 15.12.2010 16:37 0 Punkte Kornherr Raphael
Hartmann Jonathan (Carl-Orff-Gymnasium Unterschleißheim) 15.12.2010 16:39 10 Punkte Kornherr Raphael
Kersting Sophie (Staatliches Gymnasium Pullach) 15.12.2010 16:42 10 Punkte Kornherr Raphael
Kammerer Alexander (Carl-Orff-Gymnasium Unterschleißheim) 15.12.2010 16:53 10 Punkte Kornherr Raphael
Puntigam Georg (Carl-Orff-Gymnasium Unterschleißheim) 15.12.2010 17:11 0 Punkte Kornherr Raphael
Ulanouski Alexander (Carl-Orff-Gymnasium Unterschleißheim) 15.12.2010 17:13 10 Punkte Kornherr Raphael
von Bibra Bernhard (Staatliches Gymnasium Pullach) 15.12.2010 17:21 0 Punkte Kornherr Raphael
Schenk Quirin (Gabriel-von-Seidl-Gymnasium Bad Tölz) 15.12.2010 17:30 0 Punkte Kornherr Raphael
Roehr Anna-Lena (Carl-Orff-Gymnasium Unterschleißheim) 15.12.2010 17:40 0 Punkte Kornherr Raphael
Piller Johannes (Staatliches Gymnasium Pullach) 15.12.2010 18:02 0 Punkte Kornherr Raphael
Gröninger Max (GAST sonstige: weder Schule noch LMU) 15.12.2010 18:17 0 Punkte Kornherr Raphael
Strauß Joshua (Carl-Orff-Gymnasium Unterschleißheim) 15.12.2010 18:44 10 Punkte Kornherr Raphael
Leiß Simon (Oskar-Maria-Graf-Gymnasium Neufahrn) 15.12.2010 18:55 0 Punkte Kornherr Raphael
Vogel Philipp (Imma-Mack-Realschule Eching) 15.12.2010 19:01 0 Punkte Kornherr Raphael
Schaefer Selina (Carl-Orff-Gymnasium Unterschleißheim) 15.12.2010 19:10 0 Punkte Kornherr Raphael
Obermayer Tobias (LMU München (Mathematisches Institut)) 15.12.2010 19:14 0 Punkte Kornherr Raphael
Bick Johannes (Carl-Orff-Gymnasium Unterschleißheim) 15.12.2010 19:15 10 Punkte Kornherr Raphael
Wilbert Patricia (Staatliches Gymnasium Pullach) 15.12.2010 19:24 10 Punkte Kornherr Raphael
Brandt Andreas (Carl-Orff-Gymnasium Unterschleißheim) 15.12.2010 19:30 10 Punkte Kornherr Raphael
Zhu Franziska (Carl-Orff-Gymnasium Unterschleißheim) 15.12.2010 19:35 10 Punkte Kornherr Raphael
Hoang Michael (Carl-Orff-Gymnasium Unterschleißheim) 15.12.2010 19:38 10 Punkte Kornherr Raphael
Minich Thomas (Carl-Orff-Gymnasium Unterschleißheim) 15.12.2010 19:41 0 Punkte Kornherr Raphael
Tsareva Irina (Carl-Orff-Gymnasium Unterschleißheim) 15.12.2010 19:47 0 Punkte Kornherr Raphael
Lewis Steven (Carl-Orff-Gymnasium Unterschleißheim) 15.12.2010 19:53 0 Punkte Kornherr Raphael
Klucnikov Alexander (Senefelder-Schule Treuchtlingen) 15.12.2010 20:12 10 Punkte Kornherr Raphael
Mader Clemens (Carl-Orff-Gymnasium Unterschleißheim) 15.12.2010 20:17 0 Punkte Kornherr Raphael
Aumeier Sebastian (Carl-Orff-Gymnasium Unterschleißheim) 15.12.2010 20:24 10 Punkte Kornherr Raphael
Deuter Lukas (Carl-Orff-Gymnasium Unterschleißheim) 15.12.2010 20:26 10 Punkte Kornherr Raphael
Sprater Nadine (Carl-Orff-Gymnasium Unterschleißheim) 15.12.2010 20:27 0 Punkte Kornherr Raphael
Harner Celina (Carl-Orff-Gymnasium Unterschleißheim) 15.12.2010 20:31 0 Punkte Kornherr Raphael
Harner Vanessa (Carl-Orff-Gymnasium Unterschleißheim) 15.12.2010 20:32 0 Punkte Kornherr Raphael
Hausmann Alexander (Oskar-von-Miller-Gymnasium München) 15.12.2010 20:32 10 Punkte Kornherr Raphael
Materne Dominik (Gabriel-von-Seidl-Gymnasium Bad Tölz) 15.12.2010 20:38 0 Punkte Kornherr Raphael
Lipus Sandra (Carl-Orff-Gymnasium Unterschleißheim) 15.12.2010 20:52 0 Punkte Kornherr Raphael
Kulow Loïc (Carl-Orff-Gymnasium Unterschleißheim) 15.12.2010 20:56 0 Punkte Kornherr Raphael
Händel Julia (Staatliches Gymnasium Pullach) 15.12.2010 21:20 0 Punkte Kornherr Raphael
Buchwald Stefanie (Carl-Orff-Gymnasium Unterschleißheim) 15.12.2010 21:21 0 Punkte Kornherr Raphael
op 't Roodt Vincent (Carl-Orff-Gymnasium Unterschleißheim) 15.12.2010 21:33 10 Punkte Kornherr Raphael
Huber Martina (Carl-Orff-Gymnasium Unterschleißheim) 15.12.2010 21:33 0 Punkte Kornherr Raphael
Morell Maja (Sonstige (nur für Nichtschüler)) 15.12.2010 21:39 0 Punkte Kornherr Raphael
Zivkovic Djordje (Oskar-von-Miller-Gymnasium München) 15.12.2010 21:53 10 Punkte Kornherr Raphael
Eberl Konstantin (Carl-Orff-Gymnasium Unterschleißheim) 15.12.2010 21:55 0 Punkte Kornherr Raphael
Kornherr Lukas (Carl-Orff-Gymnasium Unterschleißheim) 15.12.2010 22:21 10 Punkte Kornherr Raphael
Niederauer Laura (Gymnasium Marktoberdorf) 15.12.2010 22:24 0 Punkte Kornherr Raphael
Wißmüller Ida (Senefelder-Schule Treuchtlingen) 15.12.2010 22:31 0 Punkte Kornherr Raphael
Sachs Anna (Oskar-Maria-Graf-Gymnasium Neufahrn) 15.12.2010 22:33 10 Punkte Kornherr Raphael
Andress Sebastian (Staatliches Gymnasium Pullach) 15.12.2010 22:44 0 Punkte Kornherr Raphael
Kilian Tobias (Staatliches Gymnasium Pullach) 15.12.2010 22:49 0 Punkte Kornherr Raphael
Jarvers Louis (Oskar-von-Miller-Gymnasium München) 15.12.2010 22:55 0 Punkte Kornherr Raphael
Streppel Lena (Staatliches Gymnasium Pullach) 15.12.2010 23:05 0 Punkte Kornherr Raphael
dornier severin (Oskar-von-Miller-Gymnasium München) 15.12.2010 23:14 10 Punkte Kornherr Raphael
Heiss Quirin (Oskar-von-Miller-Gymnasium München) 15.12.2010 23:33 10 Punkte Kornherr Raphael
Xie Sandy (Oskar-von-Miller-Gymnasium München) 16.12.2010 00:26 0 Punkte Kornherr Raphael
Honal Johannes (Carl-Orff-Gymnasium Unterschleißheim) 16.12.2010 01:25 10 Punkte Kornherr Raphael
Honal Christoph (Carl-Orff-Gymnasium Unterschleißheim) 16.12.2010 01:26 10 Punkte Kornherr Raphael
Zilbauer Werner (Staatliches Gymnasium Pullach) 16.12.2010 02:21 10 Punkte Kornherr Raphael
Zental Nelly (Carl-Orff-Gymnasium Unterschleißheim) 16.12.2010 04:04 0 Punkte Kornherr Raphael
Impressum Rätselsoftware: LogicWeekly Version 2.4 Beta entwickelt von Christian Spitschka (© 2004-2009) Forensoftware: Burning Board, entwickelt von WoltLab GmbH